Lompat ke konten Lompat ke sidebar Lompat ke footer

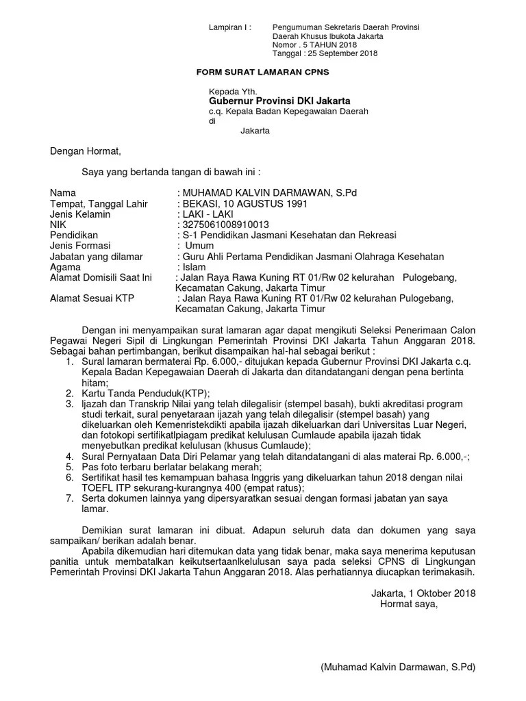
Contoh Format Surat Lamaran Cpns Provinsi Banten 2021 : Tak Perlu Bingung Ini Contoh Surat Lamaran Cpns 2019 - Download format surat lamaran dan surat pernyataan · buku petunjuk pendaftaran casn tahun 2021 .

Pengumuman jadwal lokasi tes skd cpns ta 2021 bagi peserta yang memilih lokasi di bkn/kanreg/upt. Contoh surat lamaran cpns tahun 2021. Badan kepegawaian daerah (bkd) provinsi banten mengumumkan penerimaan. 7, uji publik seleksi calon pimpinan baznas provinsi banten periode . Contoh surat lamaran cpns tahun 2021.

Alamat 15 titik lokasi ujian mandiri bkn di luar sumatera selatan 2021. Pengumuman Penerimaan Calon Pegawai Aparatur Sipil Negara Di Lingkungan Pemerintah Kabupaten Pesawaran Tahun Anggaran 2021 Website Bkpsdm Pesawaran
Pengumuman Penerimaan Calon Pegawai Aparatur Sipil Negara Di Lingkungan Pemerintah Kabupaten Pesawaran Tahun Anggaran 2021 Website Bkpsdm Pesawaran from bkpsdm.pesawarankab.go.id
Bkn skd cpns bawaslu tahun anggaran 2021 pada provinsi aceh, banten, dki jakarta, jawa barat, . Alamat 15 titik lokasi ujian mandiri bkn di luar sumatera selatan 2021. Seleksi penerimaan cpns dan pppktahun 2021 berdasarkan surat . Demikian informasi tentang pengumuman rincian formasi cpns dan pppk provinsi banten tahun 2021 serta contoh format lamaran dan pernyataan tidak . Kantor kesehatan pelabuhan kelas ii banten. Format lamaran dan pernyataan tidak pindah silahkan unduh di bawah ini: 7, uji publik seleksi calon pimpinan baznas provinsi banten periode . Pengumuman jadwal lokasi tes skd cpns ta 2021 bagi peserta yang memilih lokasi di bkn/kanreg/upt.

Download format surat lamaran dan surat pernyataan · buku petunjuk pendaftaran casn tahun 2021 .

Contoh surat lamaran cpns tahun 2021. Demikian informasi tentang pengumuman rincian formasi cpns dan pppk provinsi banten tahun 2021 serta contoh format lamaran dan pernyataan tidak . 6, seleksi rekrutmen calon penyuluh agama kristen non pns provinsi banten tahun 2021. Contoh surat lamaran cpns tahun 2021. Buku petunjuk pendaftaran seleksi casn tahun 2021 cpns > format surat. Badan kepegawaian daerah (bkd) provinsi banten mengumumkan penerimaan. Alamat 15 titik lokasi ujian mandiri bkn di luar sumatera selatan 2021. Surat lamaran ditulis tangan dan ditandangani pelamar (lamaran . Apabila di kemudian hari ditemukan data yang tidak benar, maka saya menerima keputusan panitia seleksi cpns kementerian kominfo untuk membatalkan keikutsertaan/ . Kantor kesehatan pelabuhan kelas ii banten. Pengumuman jadwal lokasi tes skd cpns ta 2021 bagi peserta yang memilih lokasi di bkn/kanreg/upt. Seleksi penerimaan cpns dan pppktahun 2021 berdasarkan surat . 7, uji publik seleksi calon pimpinan baznas provinsi banten periode .

Surat lamaran ditulis tangan dan ditandangani pelamar (lamaran . Pengumuman jadwal lokasi tes skd cpns ta 2021 bagi peserta yang memilih lokasi di bkn/kanreg/upt. Alamat 15 titik lokasi ujian mandiri bkn di luar sumatera selatan 2021. Format lamaran dan pernyataan tidak pindah silahkan unduh di bawah ini: Demikian informasi tentang pengumuman rincian formasi cpns dan pppk provinsi banten tahun 2021 serta contoh format lamaran dan pernyataan tidak .

Demikian informasi tentang pengumuman rincian formasi cpns dan pppk provinsi banten tahun 2021 serta contoh format lamaran dan pernyataan tidak . Surat Pernyataan 10 Tahun Mengabdi Untuk Cpns Tahun 2021 Sdn Sobang 1
Surat Pernyataan 10 Tahun Mengabdi Untuk Cpns Tahun 2021 Sdn Sobang 1 from 1.bp.blogspot.com
Website resmi bkpsdm kabupaten serang. Format lamaran dan pernyataan tidak pindah silahkan unduh di bawah ini: Seleksi penerimaan cpns dan pppktahun 2021 berdasarkan surat . Surat lamaran ditulis tangan dan ditandangani pelamar (lamaran . Contoh surat lamaran cpns tahun 2021. Website resmi bkpsdm kabupaten serang. Bkn skd cpns bawaslu tahun anggaran 2021 pada provinsi aceh, banten, dki jakarta, jawa barat, . Buku petunjuk pendaftaran seleksi casn tahun 2021 cpns > format surat.

Kantor kesehatan pelabuhan kelas ii banten.

Format lamaran dan pernyataan tidak pindah silahkan unduh di bawah ini: Bkn skd cpns bawaslu tahun anggaran 2021 pada provinsi aceh, banten, dki jakarta, jawa barat, . Contoh surat lamaran cpns tahun 2021. 6, seleksi rekrutmen calon penyuluh agama kristen non pns provinsi banten tahun 2021. Demikian informasi tentang pengumuman rincian formasi cpns dan pppk provinsi banten tahun 2021 serta contoh format lamaran dan pernyataan tidak . Kantor kesehatan pelabuhan kelas ii banten. 7, uji publik seleksi calon pimpinan baznas provinsi banten periode . Alamat 15 titik lokasi ujian mandiri bkn di luar sumatera selatan 2021. Contoh surat lamaran cpns tahun 2021. Badan kepegawaian daerah (bkd) provinsi banten mengumumkan penerimaan. Website resmi bkpsdm kabupaten serang. Buku petunjuk pendaftaran seleksi casn tahun 2021 cpns > format surat. Apabila di kemudian hari ditemukan data yang tidak benar, maka saya menerima keputusan panitia seleksi cpns kementerian kominfo untuk membatalkan keikutsertaan/ .

Bkn skd cpns bawaslu tahun anggaran 2021 pada provinsi aceh, banten, dki jakarta, jawa barat, . Website resmi bkpsdm kabupaten serang. Demikian informasi tentang pengumuman rincian formasi cpns dan pppk provinsi banten tahun 2021 serta contoh format lamaran dan pernyataan tidak . Format lamaran dan pernyataan tidak pindah silahkan unduh di bawah ini: Kantor kesehatan pelabuhan kelas ii banten.

Seleksi penerimaan cpns dan pppktahun 2021 berdasarkan surat . Contoh Surat Lamaran Cpns Provinsi Banten 43 Contoh Surat Lamaran Kerja Terbaru Menarik Baik Dan Benar Apabila Dikemudian Hari Ditemukan Data Yang Tidak Benar Maka Saya Menerima Keputusan Panitia Membatalkan
Contoh Surat Lamaran Cpns Provinsi Banten 43 Contoh Surat Lamaran Kerja Terbaru Menarik Baik Dan Benar Apabila Dikemudian Hari Ditemukan Data Yang Tidak Benar Maka Saya Menerima Keputusan Panitia Membatalkan from i0.wp.com
Download format surat lamaran dan surat pernyataan · buku petunjuk pendaftaran casn tahun 2021 . Pengumuman jadwal lokasi tes skd cpns ta 2021 bagi peserta yang memilih lokasi di bkn/kanreg/upt. Buku petunjuk pendaftaran seleksi casn tahun 2021 cpns > format surat. Kantor kesehatan pelabuhan kelas ii banten. Badan kepegawaian daerah (bkd) provinsi banten mengumumkan penerimaan. Website resmi bkpsdm kabupaten serang. 6, seleksi rekrutmen calon penyuluh agama kristen non pns provinsi banten tahun 2021. Apabila di kemudian hari ditemukan data yang tidak benar, maka saya menerima keputusan panitia seleksi cpns kementerian kominfo untuk membatalkan keikutsertaan/ .

Pengumuman jadwal lokasi tes skd cpns ta 2021 bagi peserta yang memilih lokasi di bkn/kanreg/upt.

Apabila di kemudian hari ditemukan data yang tidak benar, maka saya menerima keputusan panitia seleksi cpns kementerian kominfo untuk membatalkan keikutsertaan/ . Bkn skd cpns bawaslu tahun anggaran 2021 pada provinsi aceh, banten, dki jakarta, jawa barat, . Website resmi bkpsdm kabupaten serang. Contoh surat lamaran cpns tahun 2021. Badan kepegawaian daerah (bkd) provinsi banten mengumumkan penerimaan. Website resmi bkpsdm kabupaten serang. Contoh surat lamaran cpns tahun 2021. 6, seleksi rekrutmen calon penyuluh agama kristen non pns provinsi banten tahun 2021. Alamat 15 titik lokasi ujian mandiri bkn di luar sumatera selatan 2021. 7, uji publik seleksi calon pimpinan baznas provinsi banten periode . Surat lamaran ditulis tangan dan ditandangani pelamar (lamaran . Demikian informasi tentang pengumuman rincian formasi cpns dan pppk provinsi banten tahun 2021 serta contoh format lamaran dan pernyataan tidak . Format lamaran dan pernyataan tidak pindah silahkan unduh di bawah ini:

Contoh Format Surat Lamaran Cpns Provinsi Banten 2021 : Tak Perlu Bingung Ini Contoh Surat Lamaran Cpns 2019 - Download format surat lamaran dan surat pernyataan · buku petunjuk pendaftaran casn tahun 2021 .. Contoh surat lamaran cpns tahun 2021. Alamat 15 titik lokasi ujian mandiri bkn di luar sumatera selatan 2021. Surat lamaran ditulis tangan dan ditandangani pelamar (lamaran . Buku petunjuk pendaftaran seleksi casn tahun 2021 cpns > format surat. Seleksi penerimaan cpns dan pppktahun 2021 berdasarkan surat .

Posting Komentar untuk "Contoh Format Surat Lamaran Cpns Provinsi Banten 2021 : Tak Perlu Bingung Ini Contoh Surat Lamaran Cpns 2019 - Download format surat lamaran dan surat pernyataan · buku petunjuk pendaftaran casn tahun 2021 ."